Skip to content
HOME
TOPICS
Menu Toggle
Introduction
Menu Toggle
The roots of mathematics
Fibonacci
Menu Toggle
Fibonacci and Lucas
The Bergman number system
The base 100=011 number system
A more general approach
In general
Counting representations
The structure of numbers of representation
The structure of the expansions
i
Menu Toggle
The number u
The entire number
The quaternions explained
Nature
Menu Toggle
The existence of a model
The model of existence
Properties
Time
Prime numbers
APPENDIX
ABOUT
CONTACT
Main Menu
HOME
TOPICS
Menu Toggle
Introduction
Menu Toggle
The roots of mathematics
Fibonacci
Menu Toggle
Fibonacci and Lucas
The Bergman number system
The base 100=011 number system
A more general approach
In general
Counting representations
The structure of numbers of representation
The structure of the expansions
i
Menu Toggle
The number u
The entire number
The quaternions explained
Nature
Menu Toggle
The existence of a model
The model of existence
Properties
Time
Prime numbers
APPENDIX
ABOUT
CONTACT
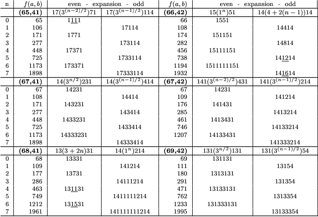
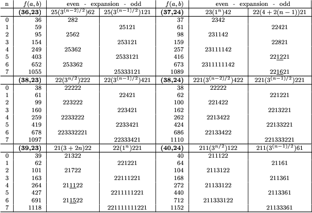
The expansions of f
Back to The structure of the expansions
Back to Appendix
Scroll to Top