The entire number
Abstract
The real numbers have the problem that extracting the root of a negative number results in an unreal number. The real and unreal numbers together form a set of numbers of which is proposed to call them the entire numbers. The definition of the entire number (w=<a,b>) is based on an alternative notation of the complex numbers in couples (a,b). A different notation has been choosen to avoid the possible confusion between the couple (a,b) and a coordinate pair (a,b). The entire number, being a new kind of number, does justice to the equality of the unit numbers 1 (R) and u (U). The abbreviation of the entire numbers is E.
The multiplication of two entire numbers resembles a rotation in the entire plane. This rotation is a ‘non-spatial’ rotation: the unreal axis has nothing to do with the real axis of a two (or three) dimensional space.
Calculating with E will be illustrated by calculation examples. Finally in a comprehension the relation between i, u and <0,1> will be explained.
- 1 Definition
- 2 A 'non-spatial' rotation
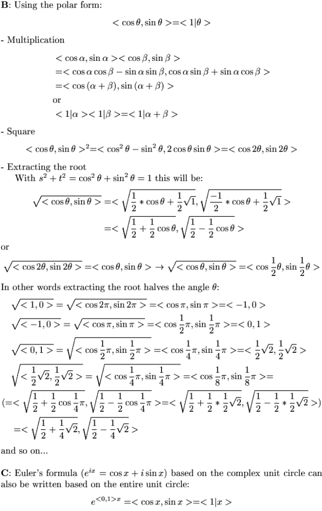
- 3 Calculating within E
- 4 Calculation examples
- 5 The relation between i, u and








