The base 100=011 number system
Abstract
The base phi number system is not the only number system that is based on the recurrence 100=011. Every sequence that satisfies this recurrence can be used as a base. The name ‘the golden mean flip’ is then not accurate anymore and it will be replaced by ‘the 100=011 flip‘. The structure of the generalized expansion (based on 100=011) has the same structure as the Bergman expansion. Three different examples will show this.
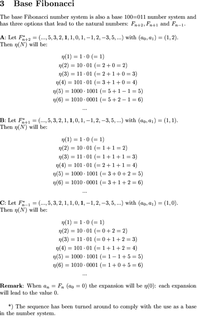
When the Fibonacci sequence is used we can speak of the base Fibonacci number system. There are three options because F-1, F1 and F2 all have the value 1. When the last one (F2) will be used and ‘.01’ appears this won’t have any contribution because F0=0. When the condition is applied that when ‘.01’ is not allowed at the end of the expansion and will be removed, the result will be the Zeckendorf expansion.
Because the Zeckendorf number system is originally based on the base Fibonacci (Fn+2) number system one could expect that the characteristics of the number system are the same. But that’s not the case: it has no longer a Lucas based structure, it has a Fibonacci based structure.
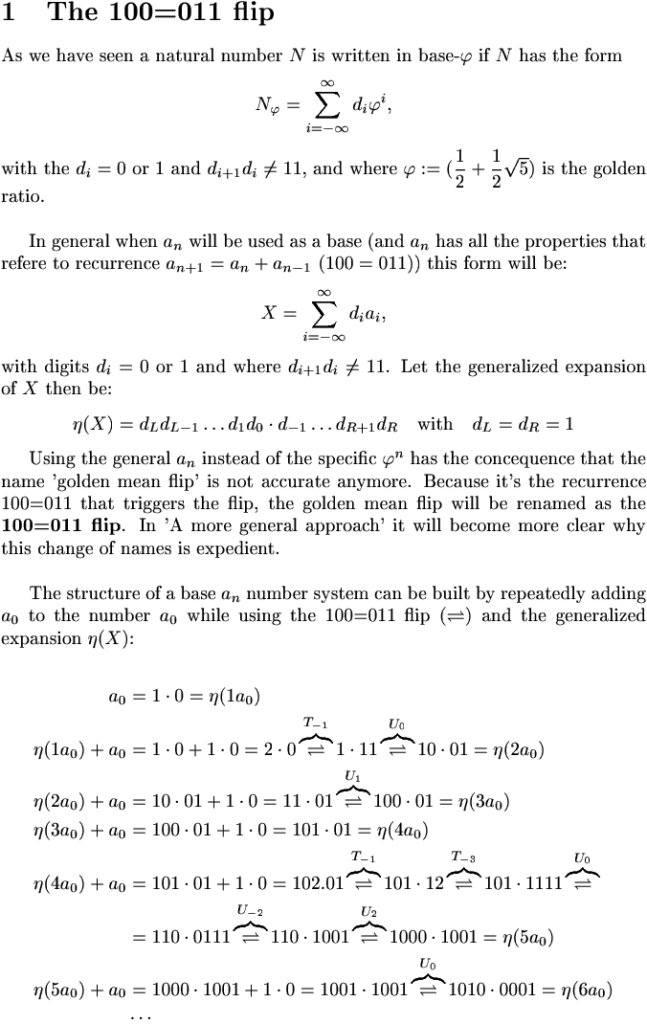
- 1 The 100=011 flip
- 2 Examples
- 3 Base Fibonacci
- 4 The Zeckendorf expansion
- 5 Characteristics




